諧波治理電抗器燒毀原因分析(下) 三、電抗率的選擇分析 1、電容器裝置側有諧波源時的電路模型及參數[5] 在同一條母線上有非線性負荷形成的諧波電流源時(略去電阻),并聯電容器裝置的簡化模型如圖1所示。


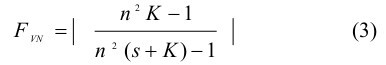
式中n為諧波次數;i為諧波源的第n次諧波電流;Xs為系統等值基波短路電抗;Xc為電容器組基波容抗;XL為串聯電抗器基波電抗。由于諧波源為電流源,諧波電壓放大率與諧波電流放大率相等,故由式(1)整理推導可得諧波電壓放大率。

式中s=Xs/Xc=QCN/Sd,K為電抗率(K=XL/Xc);Sd為電容器裝置接入處母線的短路容量;QCN為電容器裝置容量。當式(2)諧波阻抗的分子的數值等于零時,即從諧波源看入的阻抗為零,表示電容器裝置與電網第n次諧波發生串聯諧振,可得電容支路的串聯諧振點

當式(2)諧波阻抗的分母的數值等于零時,即從諧波源看入的阻抗為無窮大,表示電容器裝置與電網在第n次諧波發生并聯諧振,并可推導出電容器裝置的諧振容量Qcx為

該公式反應了n次諧波并聯諧振與電容器裝置接入處母線短路容量的關系,在決定電抗率時必須予以考慮。故為了不發生并聯諧振和串聯諧振,電抗率的選擇必須不滿足(4)(5)
2、電抗率的選擇 要做到合理地選擇電抗率必須了解該電容器接入母線處的背景諧波,根據實測結果對癥下藥。并聯電容器的電抗器,IEC標準按照其作用分為串聯電抗器和濾波電抗器。串聯電抗器的作用是限制并聯電容器組的合閘涌流,其電抗率可以選擇得比較小,一般為0.1%~1%;調諧電抗器的作用是抑制諧波。當電網中存在的諧波不可忽視時,則應考慮使用濾波電抗器,其電抗率可選擇得比較大,用以調節并聯電路的參數,使電容支路對于各次有威脅性諧波的最低次諧波阻抗成為感性,據式(4)可得K值 K=XL/Xc>1/n;即對于諧波次數最低為5次的,K>4%;對于諧波次數最低為3次的,K>11.1%,此外還要考慮式(3)諧波放大率和式(5)電容器并聯諧振容量。 因時間倉促,難免有分析不到位的地方,若有遺漏,敬請批評指正! |