電容用均壓制動電阻的設計分析 晶閘管在串聯工作時,在每個晶閘管的陽極與陰極間所并聯的電阻。其數值為晶閘管正向或反向(未導通時)最小漏電阻的20%,目的是使晶閘管上的電壓均勻分配,所以像這樣的電阻就叫做均壓制動電阻。 造成電容不均壓的原因主要是: 1、容量大公差:電容組被施加電壓后,原理上同一串聯組內的各單體電容容量都相等。而容值的不同就導致了各電容電壓的不同.
2、電介絕緣電阻公差:單體電容電壓的分壓等于按電阻分壓方式得到的數值。
若只考慮容量公差,則對于容量公差為±20%的電容來說,以下應用就已經有過壓的危險。Vbus=1200V, 三個450V/3300uF電容(容量公差±20%)串聯應用。

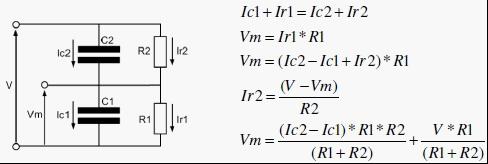
據工程經驗顯示,當選擇的均壓制動電阻使得其支路電流大約為其要平衡的電容工作漏電流的20倍時,即可得到良好的平衡效果。即套用右邊公式得到并聯于單體電容的均壓制動電阻電阻值。

中點電壓由電容漏電流差(Ic2-Ic1),線路Bus 電壓和均壓制動電阻(R1,R2)決定,如果R1=R2,則

如果選取精度為±5%的均壓制動電阻,R1=0.95R,R2=1.05R則:

R選擇為3.5Kohm:則均壓制動電阻電流為電容漏電流的8倍,串聯電阻均壓之后電容上電壓最大值為445V, R上損耗46w。 |