并聯補償電容器串聯電抗器時的容量計算分析 補償電容器串聯電抗器后,電容器的電壓、電流和輸出容量都將發生變化,特別是電壓和輸出容量的變化,對電容器的選擇和補償容量計算有較大影響.所以,要選擇合適額定電壓的電容器。如果電容器額定電壓選擇過高.將造成很大的無功容量浪費,增加投資;選擇過低,電容器長期過電壓.將影響電容器壽命,甚至燒毀電容器。 串聯電抗器后電容器電流及容量的變化對于選定的電容器,其容抗是一定的,根據電容器額定參數和串入電抗器后電容器的端電壓變化,我們可以推導出電容器的實際容量:

式中:I :電容器實際運行電流A Ie:電容器額定電流A; 從式3我們可以看出, 串聯電抗器.回路的電流已經不是電容器的額定電流,在我們設置過負荷保護時,整定值應按計算值整定,特別是電容器額定電壓選得較低的情況下.如果仍然按電容器額定電流整定,很容易造成誤動作。 由于電抗器與電容器是串聯關系.所以電抗器的電流等于流過電容器的電流,據此我們可以計算出電抗器的容量。

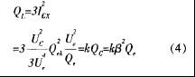
式中:QL:電抗器的容量kvar最后我們可以得出電容器串聯電抗器后對于系統來說,它的實際輸出容量:

串聯電抗器后.由于電抗器的容量將抵消部分電容器的容量,同時由于串入不同電抗器,導致電容器實際容量與額定容量不一致,對系統的輸出的容量是有較大變化的。而作為補償裝置,我們的需要的補償容量就是這個輸出容量。所以設計時應作相應的計算,不能以電容器額定容量作為補償容量計算。 |