【電抗器原理】串聯電抗器(濾波電抗器)的選型分析 20世紀80年代初,為了促進提高國產電容器產品的質量和生產技術的發展與進步,國家采用了重大舉措,其中包括由原水利電力部統一從西歐、日本進口一批電容器,分配給東北、華北和華東電網集中裝設在110kV及以上變電所,并效法日本的做法規定要求一律用6%串聯電抗器(濾波電抗器),一時全國各地(除浙江省等個別省區外)形成幾乎以此為“主導”的設計模式。 隨著各地大容量電容裝置的相繼投運,通過現場諧波實測,人們逐步發現和認識到事實不象教科書所說的那樣,3次諧波只有零序分量可被變壓器Δ接法的線圈所環路,而是到處流通。除了電氣化鐵道,電弧爐負荷是3次諧波源以外,根據大量測試分析結果證明,變壓器也是電力諧波的一個重要發生源,其主要成分是3次諧波。由于變壓器的激磁電流加上鐵芯的磁飽和,以及電力系統中普遍存在的3相電路與磁路的不對稱,三相電源電壓不僅在幅值上有差別,而且在相位上不是各差120°,故即使在變壓器三角繞組側的線電壓,線電流中也仍然存在3次諧波分量,它們是正序和負序分量。因此,3次諧波遍及電網,尤其是在負荷低谷時,隨著電網運行電壓的升高,變壓器鐵芯飽和程度的加深,其產生的3次諧波含量也隨之增大。根據浙江電網近年來對10~500kV各級網絡165個測點的諧波普測結果,以3次為主導諧波和3、5次諧波為主導諧波合計占總測點數的92%;
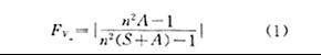
據紹興地區電網監測結果以3次諧波為主占總測點數的79%,以3次和3、5次為主合計占94%,這樣的背景諧波情況在全國電網是具有普遍性的,事實證明,我國國情與日本國不同,后者電網不存在3次諧波,電容器組串接5%~6%串聯電抗器(濾波電抗器)以抑制電網5次及以上諧波是正確的,而我們效法后者,就把串聯電抗器(濾波電抗器)選用引入“誤區”。電網普遍存在3次諧波的狀況,以及曾有過的“誤導”,給電容器裝置及其相連電網的運行所帶來的影響是不容低估的。 電容器裝置盲目采用串接5%~6%的串聯電抗器(濾波電抗器)投入電網后,引起3次諧波的放大甚至發生諧振已成為不爭的事實。眾多的文獻陳述了220kV及以上樞紐變電所中的河南湯陰變、湖南曲河變、湖南寶慶變、廣西玉林變、張家口宣化變的電容裝置投運后,曾先后發生由于3次諧波諧振引發的部分電容器和配套器件損毀,甚至全部電容器燒毀的事故;北京地區聶各莊變、呂村變、南苑變、王四營變、浙江紹興的渡東變等等,均發生3次諧波諧振而被迫停運采取改造措施。至于110kV及以下變電所電容器裝置投運后,通常發生電網諧波放大超標,引起電容器,電抗器振動、發熱、保護誤動,甚至設備損壞。 根據大量電容器裝置工程實例的計算分析與現場測試驗證,結果證明可以采用簡化的電路模型(如圖1,2所示),來分析估算電容器裝置的接入對電網3次諧波的影響,以及諧振容量的估算。按電容器裝置投入點的情況不同分為兩種類型: 1)當電容裝置側有諧波源時,其分析電路模型如圖1所示。圖中,In為諧波源的第n次諧波電流;XS為系統等值工頻短路電抗;XC為電容器組工頻容抗;XL為串聯電抗器(濾波電抗器)工頻電抗(XL=AXC,A為電抗率);n為諧波次數,為了分析電容裝置接入電網后以對某次諧波變化的影響,特定義電容器組投入后與投入前系統諧波電壓之比為某次諧波電壓放大率(FVn),經推導可得:

式中,S=XS/XC=QCN/SD其中,SD為電容裝置接入處母線短路容量,QCN為電容裝置容量。當(1)式分母的數值等于零時,表示電容裝置與電網在第n次諧波發生并聯諧振,并據此推導出估算電容裝置諧振容量(QCX)的算式:

從物理意義上解釋:當電容裝置側存在3次諧波電流源時,串接6%及以下串聯電抗器(濾波電抗器)的電容器組在3次諧波下的阻抗呈容性,而系統阻抗為感性,兩者并聯阻抗增大(比起電容裝置接入前單一的系統阻抗3XS而言),故電容裝置接入后比接入前,其裝置側網絡3次諧波電壓增大(即3次諧波電壓放大),一旦電容器支路與系統等值回路的3次諧波阻抗值相等或接近相等(符號相反),兩者并聯阻抗為無窮大即進入并聯諧振,引起電容裝置嚴重過電壓過電流而損毀,同時危及系統安全。 從(2)式可得,當電容裝置選用5%串聯電抗器(濾波電抗器)且容量達到或接近系統短路容量的6%時,或者選用6%串聯電抗器(濾波電抗器)且其容量達到或接近系統短路容量5%時,就會發生3次諧波并聯諧振或接近于諧振。上述220kV及以上變電所的電容裝置工程實例證實了從(2)式得出的結果。110kV及以下變電所的電容裝置容量相對較小,(通常S>5%),但會引起3次諧波放大,甚至嚴重放大。從(1)式可以揭示,在同一裝置場所,在選用串聯電抗器(濾波電抗器)的電抗率(A)為0.1%~6%范圍內,隨著A的增大,或者隨著S的增大(即電容裝置投入容量的增大),3次諧波電壓放大程度(FV3)也隨著增大。
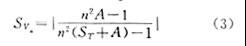
2)當電容裝置本側無諧波源時,其分析電路模型如圖2所示。在220kV及以上樞紐變電站,為了調相調壓的需要,在主變的低壓側裝設了大容量的分組投切電容器組,裝置側無負荷,諧波來自主變高壓側。按圖示定義裝置側母線諧波電壓UBn與高壓側母線諧波電壓UAn之比為諧波電壓滲透率SVn,如忽略變壓器第n次諧波電阻,SVn可由(3)式估算:

式中,ST=XT/XC;XT為變壓器工頻短路電抗。當(3)式分母的數值等于零時,表示電容裝置在第n次諧波處發生串聯諧振,并據此推導出估算串聯諧振容量QCX的算式:

式中Se為變壓器額定容量;UK%為變壓器短路電壓百分值,其他符號意義同上文。當Se和UK%參數已知時,用(4)式估算不同的電抗率A所對應的電容裝置發生3次諧波串聯諧振容量。從理論計算與實際工程驗證,一旦電容裝置容量達到變壓器容量的15%及以上,如選用5%~6%串聯電抗器(濾波電抗器)就會發生3次諧波嚴重放大,甚至出現串聯諧振。
綜上所述,對于樞紐變電所裝設的大容量電容裝置要避免進入串聯電抗器(濾波電抗器)選用的誤區,慎防對電網3次諧波的嚴重放大或諧振;對于110kV及以下變電所,如電容裝置處背景諧波中有較大3次諧波含量的,忌用5%~6%串聯電抗器(濾波電抗器)。 |